By Paul A. Djupe, Denison University
The cycle has started again and, indeed, has come full circle. By the time Family Research Council (FRC) president Tony Perkins sat down for an interview with Politico in 2018, he knew about Stormy Daniels and the payoff, the Access Hollywood tape, and more and, yet, he gave Trump a “mulligan.” But he went further. When asked to affirm Jesus’ words in the Sermon on the Mount, he cast them aside for Trump: “You know, you only have two cheeks. Look, Christianity is not all about being a welcome mat which people can just stomp their feet on.” So, it’s no surprise that FRC stood with Ben Carson recently to argue Trump’s conviction on 34 felony counts resulted from a “Kangaroo court.”
They don’t have to support Trump in everything he does. When he engages in depraved behavior like paying off a porn star that he had sex with not long after his wife gave birth to his son and then trying to cover it up so it doesn’t influence the presidential election, they could call him out or at least express disapproval. But no. Since Trump became the Republican nominee for president, most evangelicals have and continue to be his most ardent supporters. Is there any evidence to suggest that evangelicals held their noses and supported Trump?
In new research available open access at the journal Politics and Religion, Alondra Pagán Márquez, Matthew Mettler, Jeffery Mondak (all in the political science department at the University of Illinois) and I undertook the most systematic, in-depth look at this question yet. We used original survey data from 2019 that included about 1000 Trump voters (or would-be Trump voters). The value of 2019 data is that it was not in an election year, so voters could feel less defensive of their likely vote choice. Moreover, 2019 was well after much of the Trump Administration, but before the pandemic, multiple impeachments, and the January 6th Insurrection. In other words, this is great timing to look for gaps in the intensity of support for Trump.
One of the weaknesses of some analyses of evangelical support for Trump is that they confuse vote choice and enthusiasm. We should not assume that voters are enthusiastic about their choices and this survey had multiple ways of capturing enthusiasm. It asked feeling thermometer questions (cold to warm on a 0-100 scale) for Trump, Clinton, Pence, and other prominent Republicans (e.g., Ted Cruz). The survey also asked about allegations of Trump wrongdoing (e.g., “The Mueller investigation was a witch hunt that produced no evidence of wrongdoing on the part of Trump’s associates.”), whether several Trump statements were true or false (e.g., “Trump signed more legislation in his first year than any president since Truman (false)”; two of the 4 statements were true), and their perceptions of Trump supporters (Are most Trump supporters honest or dishonest, hardworking or lazy, intelligent or unintelligent, and patriotic or unpatriotic?). Therefore, there are many ways that evangelicals could distance themselves from Trump or from full-throated Trump support(ers).
What did we find? Across all of these different measures of the intensity of Trump support, we find no difference between evangelicals (“E”) and non-evangelicals (“NE”) as shown below in Figure 1. For example, Evangelical Trump voters, on average, provide the same feeling thermometer (FT) score for Trump as non-evangelical Trump voters (about 83/100) regardless of the statistical methods we use to assess it (represented by the black points vs the red ones). That lack of difference holds across all measures and holds across ways of measuring Trump voters (more on that in the paper).
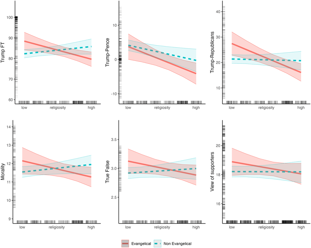
Figure 1. The intensity of Trump support in six measures among 2016 evangelical and nonevangelical Trump voters.

Notes: F-NE, full (OLS) model, nonevangelicals; F-E, full model, evangelicals; M-NE, matching, nonevangelicals; M-E, matching, evangelicals. Plots depict average marginal predicted outcomes with 95% confidence intervals. All contrasts are statistically insignificant.
We also looked to see if religiosity changed the intensity of support for Trump among both evangelicals and non-evangelicals. As Figure 3 below shows, religiosity has essentially no effect on the intensity of Trump support among non-evangelical Trump voters, but does have a significant effect on evangelicals. That effect is in line with the argument from some evangelicals that faith would create distance with Trump. However, that distance is very small and substantively unimportant. Take, for example, the simple feeling thermometer score for Trump (top left panel) — high religiosity evangelicals give a lower score than low religiosity evangelicals, but the drop is 8 points out of 100 (from 89 to 80). A score of 80 is still very warm and that score is also indistinguishable from how high religiosity non-evangelicals feel toward Trump. That pattern holds for the other feeling thermometer measures — there’s a statistically significant, but substantively unimportant drop in the intensity of support for Trump from high-religiosity evangelicals. However, it doesn’t hold for the other measures (bottom row) — there, religiosity doesn’t move the needle for either evangelicals or non-evangelical Trump voters.
Figure 3. The intensity of Trump support in six measures with religiosity interaction, 2016 Trump voters.

Notes: Plots depict fitted lines with 95% confidence bands. Our statistical models (available in the paper appendix) include the full 0 to 8 range for religiosity, but the plots include only 3 to 8 because no evangelicals recorded religiosity levels lower than 3.
As we conclude in the paper:
Despite a multifaceted effort to identify evidence that evangelicals were hesitant in their support for Donald Trump, no findings consistent with that expectation were observed. To the contrary, when viewed in absolute terms, evangelicals’ assessments of Trump midway through his presidency were quite fervent. Moreover, relative to Trump’s nonevangelical supporters, there was no instance across twenty-four tests in which evangelicals were found to be significantly more tepid toward Trump than were their nonevangelical counterparts.
These findings are consistent with loads of evidence from other survey projects. I found that evangelicals did not hold their nose and vote for Trump using 2016 polling. Ryan Burge found that evangelicals did not moderate their views, but intensified their partisanship midway through the Trump administration. Burge also found evangelical support for Trump climbs with church attendance and regardless of education.
With every post and every academic article, I keep hoping the zombie thesis that low-religiosity evangelicals are to blame for the excesses of Trumpism will finally be laid to rest. At this point, I have little faith that that will come to pass, but at the very least we have excellent evidence in this new article with incredibly robust methods and results to support the cause.
Paul A. Djupe directs the Data for Political Research program at Denison University, is an affiliated scholar with PRRI, the series editor of Religious Engagement in Democratic Politics (Temple), and co-creator of religioninpublic.blog. Further information about his work can be found at his website and on Twitter.
